Free Access

Fig. 1

thumbnail

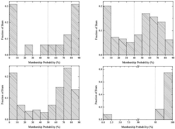
Normalised number of stars distributed according to membership probability (P%), which is based on their proper motion. A dotted line indicates the minimum probability (Pmin) that was adopted to separate the most probable members from field stars. Top: Berkeley 86 (left) and NGC 2244 (right). Bottom: NGC 2264 (left) e NGC 6530 (right).

This figure is made of several images, please see below:

Current usage metrics show cumulative count of Article Views (full-text article views including HTML views, PDF and ePub downloads, according to the available data) and Abstracts Views on Vision4Press platform.

Data correspond to usage on the plateform after 2015. The current usage metrics is available 48-96 hours after online publication and is updated daily on week days.

Initial download of the metrics may take a while.