Free Access

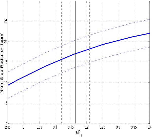
Fig. 6

thumbnail

The difference between the occultation depth and the phase modulation, ΔNS, as a function of a/R, based on Q2 and Q3 data, combined. The vertical lines present the best-fit a/R and its 1σ error estimation, derived from the planetary transit.

Current usage metrics show cumulative count of Article Views (full-text article views including HTML views, PDF and ePub downloads, according to the available data) and Abstracts Views on Vision4Press platform.

Data correspond to usage on the plateform after 2015. The current usage metrics is available 48-96 hours after online publication and is updated daily on week days.

Initial download of the metrics may take a while.