Free Access

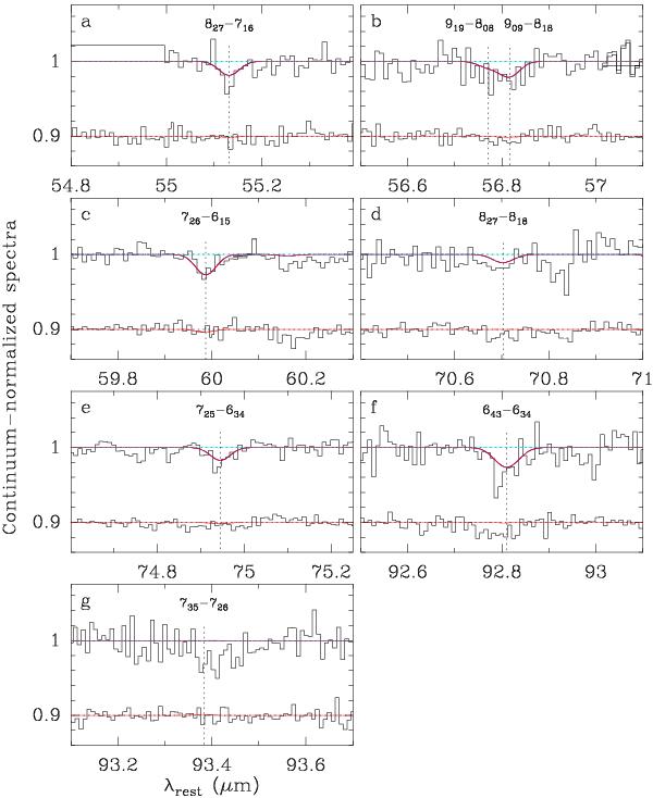
Fig. 5

thumbnail

Marginally detected H2O lines in NGC 4418 (upper spectra in each panel); the corresponding lines from Arp 220 are also shown (lower spectra). Model predictions for these lines (for Ccore in NGC 4418 and for Cwest in Arp 220) are also shown (red curves).

Current usage metrics show cumulative count of Article Views (full-text article views including HTML views, PDF and ePub downloads, according to the available data) and Abstracts Views on Vision4Press platform.

Data correspond to usage on the plateform after 2015. The current usage metrics is available 48-96 hours after online publication and is updated daily on week days.

Initial download of the metrics may take a while.