Free Access

Fig. 1

thumbnail

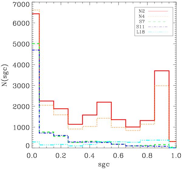
Stellarity parameter (sgc) histogram for N2 (solid line), N4 (dotted line), S7 (dashed line), S11 (dash-doted line) and L18 (dash-triple doted line) image. Here, the abscissa is the sgc parameter with intervals of 0.05 and the ordinate is the number of objects in each bin.

Current usage metrics show cumulative count of Article Views (full-text article views including HTML views, PDF and ePub downloads, according to the available data) and Abstracts Views on Vision4Press platform.

Data correspond to usage on the plateform after 2015. The current usage metrics is available 48-96 hours after online publication and is updated daily on week days.

Initial download of the metrics may take a while.