Free Access

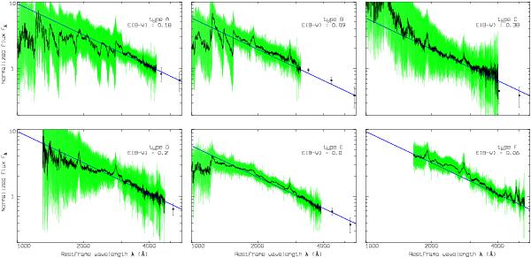
Fig. 9

thumbnail

Geometric mean composite spectra corrected for intrinsic reddening. The SDSS spectra were combined with JHK fluxes form 2MASS (squares with error bars). For comparison, the power-law continuum fit to the geometric mean SDSS composite from Vanden Berk et al. (2001) is shown.

Current usage metrics show cumulative count of Article Views (full-text article views including HTML views, PDF and ePub downloads, according to the available data) and Abstracts Views on Vision4Press platform.

Data correspond to usage on the plateform after 2015. The current usage metrics is available 48-96 hours after online publication and is updated daily on week days.

Initial download of the metrics may take a while.