Free Access

Fig. 2

thumbnail

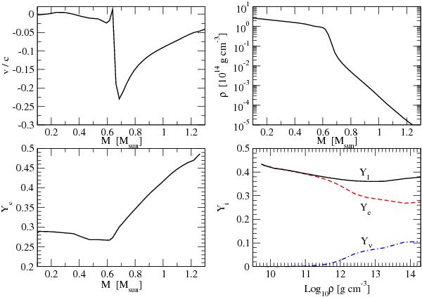
Velocity (upper left panel), density (upper right panel), electron fraction (lower left panel) profiles as a function of the enclosed mass at bounce, and the evolution of the central lepton fraction (lower right panel) as a function of the increasing central density, for the run with the LS EoS (K = 180 MeV) and Bruenn (1985) capture rates on nuclei.

Current usage metrics show cumulative count of Article Views (full-text article views including HTML views, PDF and ePub downloads, according to the available data) and Abstracts Views on Vision4Press platform.

Data correspond to usage on the plateform after 2015. The current usage metrics is available 48-96 hours after online publication and is updated daily on week days.

Initial download of the metrics may take a while.