Free Access

Fig. 3

thumbnail

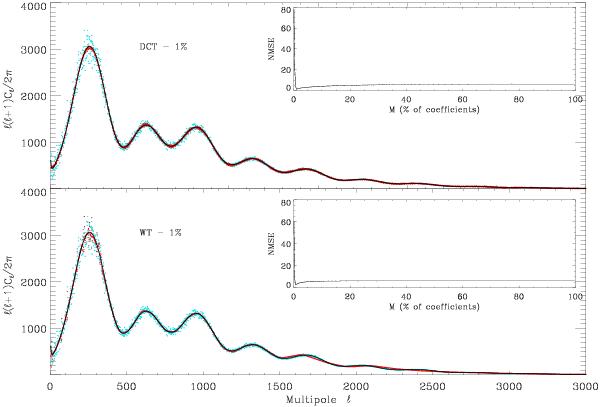
A simulated CMB power spectrum along with the reconstructed spectra, using the DCT and WT dictionaries. The black solid line is the true underlying power spectrum from which the simulations were made. The blue and red dots show the simulated and the reconstructed power spectra respectively. With only 1% of the coefficients, DCT can recover the input power spectrum (i.e. the black solid line) very well, recovering the peaks and troughs accurately. Unlike DCT, WT seems to have difficulties in recovering the peaks and troughs. The inner plots shows the NMSE curves.

Current usage metrics show cumulative count of Article Views (full-text article views including HTML views, PDF and ePub downloads, according to the available data) and Abstracts Views on Vision4Press platform.

Data correspond to usage on the plateform after 2015. The current usage metrics is available 48-96 hours after online publication and is updated daily on week days.

Initial download of the metrics may take a while.