Free Access

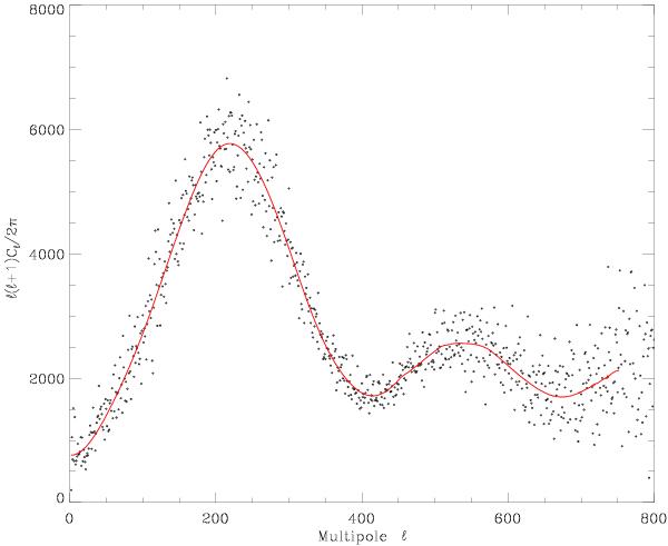
Fig. 9

thumbnail

TOUSI algorithm applied to the WMAP7 power spectrum. The technique works well up to of  ~800, i.e., before the instrumental noise becomes dominant washes the features of the spectrum out.

Current usage metrics show cumulative count of Article Views (full-text article views including HTML views, PDF and ePub downloads, according to the available data) and Abstracts Views on Vision4Press platform.

Data correspond to usage on the plateform after 2015. The current usage metrics is available 48-96 hours after online publication and is updated daily on week days.

Initial download of the metrics may take a while.