Free Access

Fig. 11

thumbnail

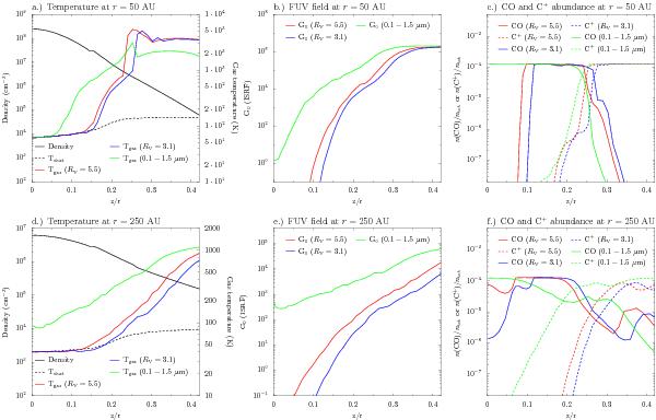
Vertical cuts through the disk at a radius of 50 AU (top panels) and 250 AU (lower panels). Green lines show values obtained using the 0.1–1.5 μm grains, blue and red lines indicate models calculated with RV = 5.5 and RV = 3.1, respectively. a) and d) Gas density, gas and dust temperature. b) and e) FUV field in units of the interstellar radiation field. c) and f) Abundance of CO and C+ relative to the hydrogen density.

Current usage metrics show cumulative count of Article Views (full-text article views including HTML views, PDF and ePub downloads, according to the available data) and Abstracts Views on Vision4Press platform.

Data correspond to usage on the plateform after 2015. The current usage metrics is available 48-96 hours after online publication and is updated daily on week days.

Initial download of the metrics may take a while.