Free Access

Fig. A.2

thumbnail

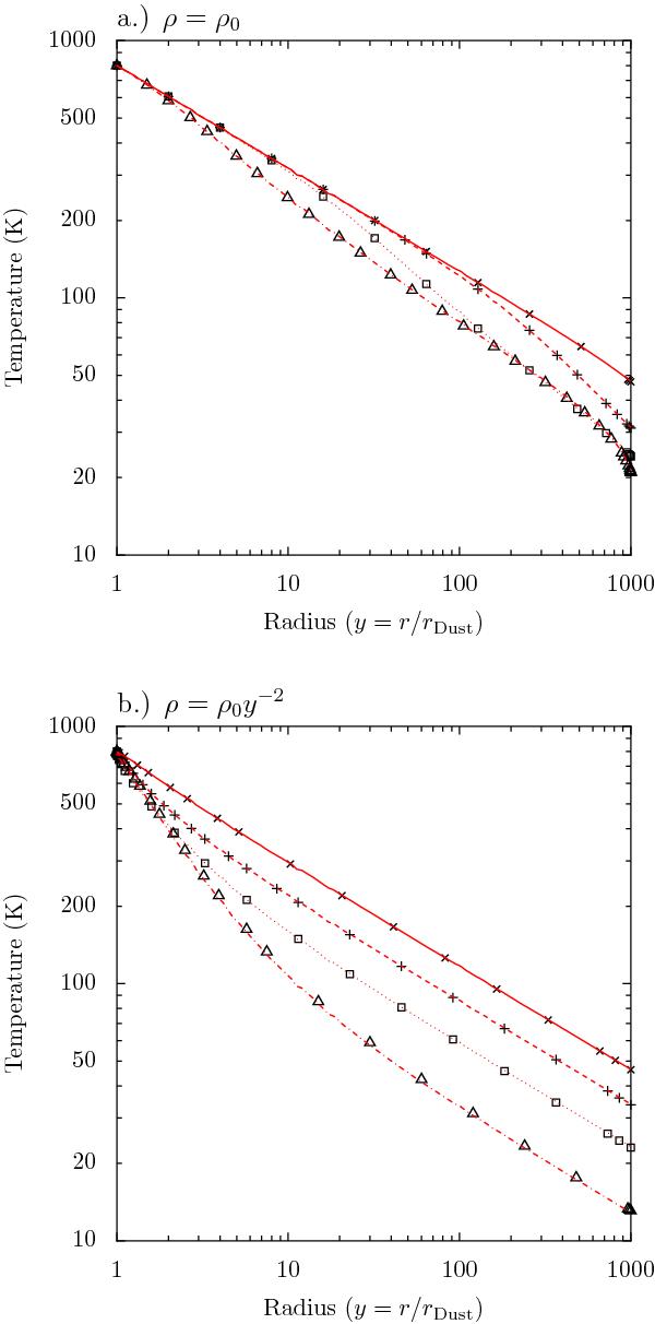
Results of a spherical benchmark test for the dust temperature calculation (Ivezic et al. 1997). The dust temperature obtained from this work is given by a red line, while the results from DUSTY are given by black signs. The solid line corresponds to τ1μm, and the dashed, dotted, and dash-dotted lines to τ1 = 10,100, and 1000, respectively. a) Constant density, b) density  ∝ r-2.

Current usage metrics show cumulative count of Article Views (full-text article views including HTML views, PDF and ePub downloads, according to the available data) and Abstracts Views on Vision4Press platform.

Data correspond to usage on the plateform after 2015. The current usage metrics is available 48-96 hours after online publication and is updated daily on week days.

Initial download of the metrics may take a while.