Free Access

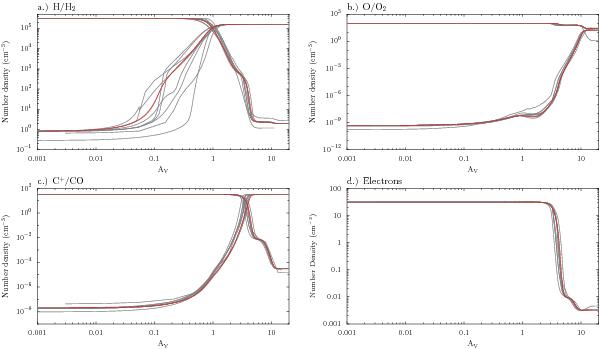
Fig. A.4

thumbnail

Result of the chemistry benchmark for a slab with UV irradiation (Röllig et al. 2007, problem F4). The result of our code is given by the red line, the results of the PDR codes by gray lines.

Current usage metrics show cumulative count of Article Views (full-text article views including HTML views, PDF and ePub downloads, according to the available data) and Abstracts Views on Vision4Press platform.

Data correspond to usage on the plateform after 2015. The current usage metrics is available 48-96 hours after online publication and is updated daily on week days.

Initial download of the metrics may take a while.