Free Access

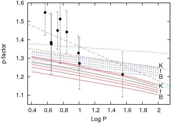
Fig. 5

thumbnail

The p-factor predicted from plane-parallel and spherically-symmetric model atmospheres as a function of pulsation period. Projection factors computed from plane-parallel models are shown for the BVRIH and K-bands as blue dashed lines, while projection factors from spherically-symmetric models are shown as red solid lines. For reference the period–projection factor relations are shown from Hindsley & Bell (1986) (magenta dotted line), Nardetto et al. (2007), their Eq. (6) (orange dashed-double dot line), Nardetto et al. (2009) (pale blue dot-dashed line) and Storm et al. (2011b), (black double-dashed line). The projection factors for Galactic Cepheids determined by Storm et al. (2011a) are also included (black dots).

Current usage metrics show cumulative count of Article Views (full-text article views including HTML views, PDF and ePub downloads, according to the available data) and Abstracts Views on Vision4Press platform.

Data correspond to usage on the plateform after 2015. The current usage metrics is available 48-96 hours after online publication and is updated daily on week days.

Initial download of the metrics may take a while.