Free Access

Fig. 4

thumbnail

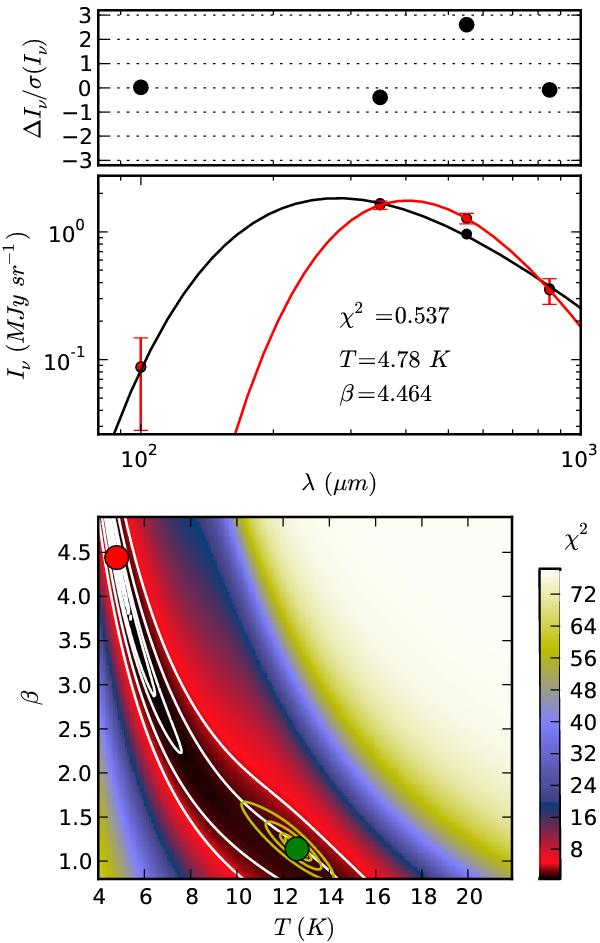
Case where noise has resulted in a high β value. In the middle frame, the black curve is the spectrum obtained from the cloud modelling. The red symbols are the measurements that include noise and the red curve is the fit to these points. The uppermost frame shows the deviations ΔIν (the difference between the simulated observation and the fit) in units of the assumed uncertainty σIν. The bottom frame shows the χ2 values as a function of TC and βObs. The colour plot and the white contours show the χ2 values for the fit to the noisy data. The contours are drawn at 1.02, 1.05, 1.1, 1.5, 2.0, 4.0, and 8.0 times the minimum χ2 value. In yellow are shown the corresponding contours for the fit to the noiseless data. The two circles denote the locations of the χ2 minima with (red circle) and without (green circle) the noise.

Current usage metrics show cumulative count of Article Views (full-text article views including HTML views, PDF and ePub downloads, according to the available data) and Abstracts Views on Vision4Press platform.

Data correspond to usage on the plateform after 2015. The current usage metrics is available 48-96 hours after online publication and is updated daily on week days.

Initial download of the metrics may take a while.