Free Access

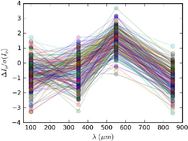
Fig. 6

thumbnail

Errors in the observed intensities in the cases where the simulated Planck and IRAS 100 μm observations result in colour temperatures TC < 8 K. The errors are given as the difference between the observed intensity and the noiseless spectrum, measured in units of the uncertainty assumed in the modified black body fits.

Current usage metrics show cumulative count of Article Views (full-text article views including HTML views, PDF and ePub downloads, according to the available data) and Abstracts Views on Vision4Press platform.

Data correspond to usage on the plateform after 2015. The current usage metrics is available 48-96 hours after online publication and is updated daily on week days.

Initial download of the metrics may take a while.