Free Access

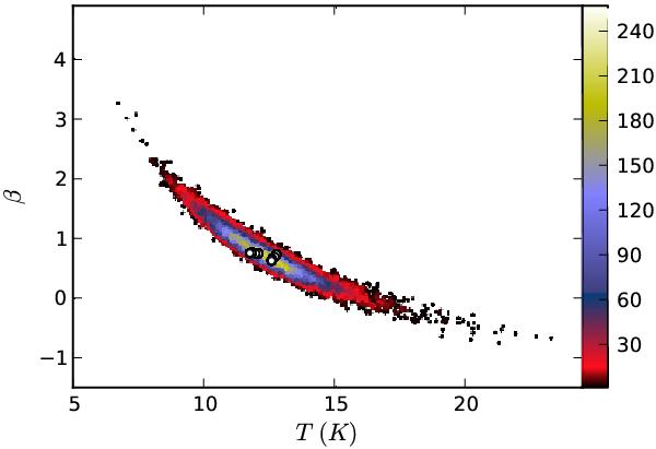
Fig. 7

thumbnail

Distribution of (TC, β) for simulated Herschel observations. The colour scale gives the density of the points per ΔTC = 0.2 K and ΔβObs = 0.1. The white circles (with black borders) indicate the values that would be obtained for the included models if there were no noise.

Current usage metrics show cumulative count of Article Views (full-text article views including HTML views, PDF and ePub downloads, according to the available data) and Abstracts Views on Vision4Press platform.

Data correspond to usage on the plateform after 2015. The current usage metrics is available 48-96 hours after online publication and is updated daily on week days.

Initial download of the metrics may take a while.