Free Access

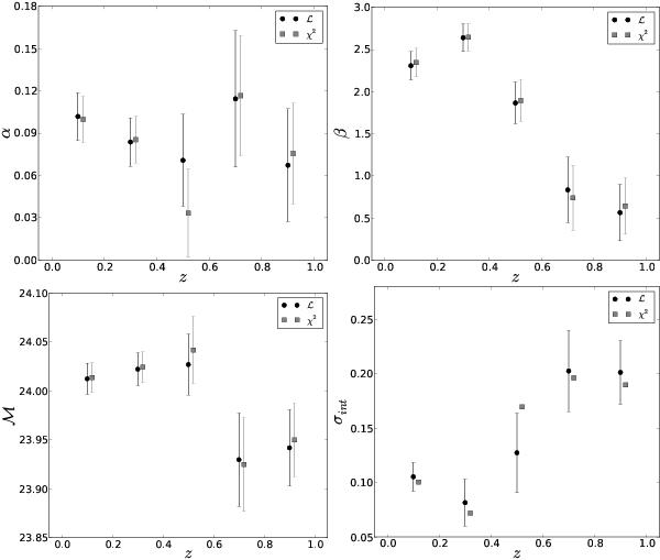
Fig. 5

thumbnail

Evolution of SALT2 parameters α, β, ℳ, and σint with redshift for the SDSS compilation for model ΛCDM. The cosmological parameters were kept fixed at their global best-fit values. The black circles and the gray squares are the results for the likelihood and the χ2 approaches, respectively. The error bars represent the 68% confidence intervals, marginalizing over all other parameters with flat priors.

This figure is made of several images, please see below:

Current usage metrics show cumulative count of Article Views (full-text article views including HTML views, PDF and ePub downloads, according to the available data) and Abstracts Views on Vision4Press platform.

Data correspond to usage on the plateform after 2015. The current usage metrics is available 48-96 hours after online publication and is updated daily on week days.

Initial download of the metrics may take a while.