Free Access

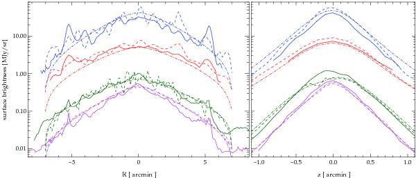
Fig. 2

thumbnail

Major (left) and minor (right) axis profiles, averaged over a strip of 30′′ (solid lines), in the sdss-r (green) and IRAC 3.6 μm (pink, offset by a factor 2 for clarity) and the 250 (blue) and 500 (red) μm SPIRE data, all at native resolution. The major axis profile spans (RC3). We also show the smooth (dot-dash) and clumpy (dashed) TRADING models for comparison (convolved with the SPIRE PSFs at 250 and 500 μm). We assumed PA = 47.3° (de Jong et al. 2007).

Current usage metrics show cumulative count of Article Views (full-text article views including HTML views, PDF and ePub downloads, according to the available data) and Abstracts Views on Vision4Press platform.

Data correspond to usage on the plateform after 2015. The current usage metrics is available 48-96 hours after online publication and is updated daily on week days.

Initial download of the metrics may take a while.