Free Access

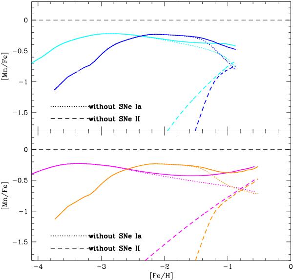
Fig. 8

thumbnail

Same as Fig. 3 but for models only, showing the respective contributions of the SNe II and Ia to the Mn synthesis. Only the models A1 and B1 for Sculptor (continuous cyan and blue lines respectively), and C1 and D1 for Fornax (continuous magenta and orange lines) are shown. The dotted lines show the evolution of [Mn/Fe] assuming no Mn is produced by the SNe Ia, in contrast to Fe and all other elements. The dashed lines indicate the same evolution, but assuming that no Mn is produced by the SNe II.

Current usage metrics show cumulative count of Article Views (full-text article views including HTML views, PDF and ePub downloads, according to the available data) and Abstracts Views on Vision4Press platform.

Data correspond to usage on the plateform after 2015. The current usage metrics is available 48-96 hours after online publication and is updated daily on week days.

Initial download of the metrics may take a while.