Free Access

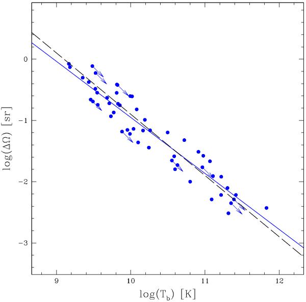
Fig. 9

thumbnail

The beaming angle (ΔΩ) as function of the brightness temperatures (Tb) for all the unsaturated CH3OH masers detected in NGC 7538 (Surcis et al. 2011a), W51, W48, IRAS 18556+0138, and W3(OH). The arrows indicate that the masers are unresolved, i.e. the maser angular size Σ is less than the beam-size of the observations and consequently ΔΩ is smaller and Tb is larger. The blue line is the best linear fit of the resolved masers and the dashed black line is the theoretical proportionality ΔΩ ∝ (Tb)-1 (Elitzur 1992).

Current usage metrics show cumulative count of Article Views (full-text article views including HTML views, PDF and ePub downloads, according to the available data) and Abstracts Views on Vision4Press platform.

Data correspond to usage on the plateform after 2015. The current usage metrics is available 48-96 hours after online publication and is updated daily on week days.

Initial download of the metrics may take a while.