Free Access

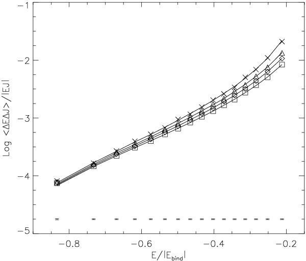
Fig. 3

thumbnail

Relative first-order cross term between energy and angular momentum vs. initial energy of the stars after an impulsive perturbation for four different initial angular momentum bins. Crosses are for J/Jc values between 0 and 0.25, triangles for values between 0.25 and 0.5, diamonds for values between 0.5 and 0.75, and squares for values between 0.75 and 1. Data points show the energy changes at the end of the simulation. Solid lines are the analytical expectations (Eq. (25)). The initial energy in the abscissa is normalized to the binding energy of the cluster, Ebind. Error bars for the simulation results are shown separately from the data points for the sake of clarity.

Current usage metrics show cumulative count of Article Views (full-text article views including HTML views, PDF and ePub downloads, according to the available data) and Abstracts Views on Vision4Press platform.

Data correspond to usage on the plateform after 2015. The current usage metrics is available 48-96 hours after online publication and is updated daily on week days.

Initial download of the metrics may take a while.