Free Access

Fig. 4

thumbnail

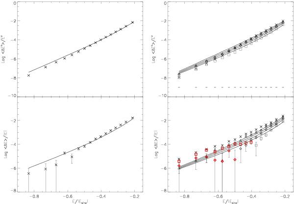
Same as Fig. 1, but for the time-varying (Gaussian) perturbation given by Eq. (29). The left panels are for the simulation results and analytical formulae expressed as functions of initial energy only, and the right panels as functions of both initial energy and angular momentum. In the right panels, crosses are for J/Jc values between 0 and 0.25, triangles for values between 0.25 and 0.5, diamonds for values between 0.5 and 0.75, and squares for values between 0.75 and 1 (Jc is the maximum allowed angular momentum for a given energy). Solid lines are the analytical expectations (Eqs. (6) and (9)) with the adiabatic corrections by GO (Eq. (28)). The negative data points are marked with red, thicker symbols.

This figure is made of several images, please see below:

Current usage metrics show cumulative count of Article Views (full-text article views including HTML views, PDF and ePub downloads, according to the available data) and Abstracts Views on Vision4Press platform.

Data correspond to usage on the plateform after 2015. The current usage metrics is available 48-96 hours after online publication and is updated daily on week days.

Initial download of the metrics may take a while.