Free Access

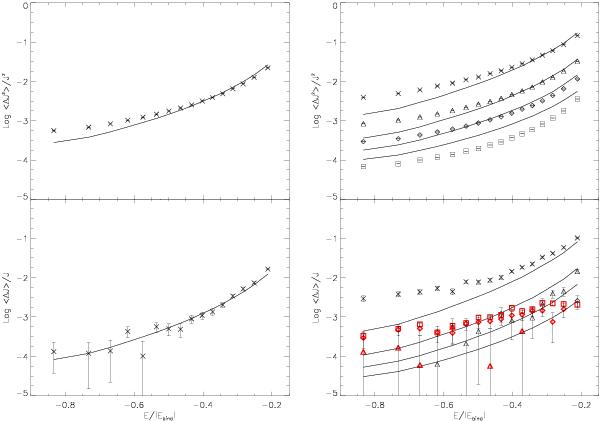
Fig. 6

thumbnail

Same as Fig. 4, but for angular momentum drift and diffusion. In the right panels, crosses are for J/Jc values between 0 and 0.25, triangles for values between 0.25 and 0.5, diamonds for values between 0.5 and 0.75, and squares for values between 0.75 and 1 (Jc is the maximum allowed angular momentum for a given energy). Solid lines are the analytical expectations (Eqs. (20) and (21)) with the adiabatic corrections by GO (Eq. (28)).

This figure is made of several images, please see below:

Current usage metrics show cumulative count of Article Views (full-text article views including HTML views, PDF and ePub downloads, according to the available data) and Abstracts Views on Vision4Press platform.

Data correspond to usage on the plateform after 2015. The current usage metrics is available 48-96 hours after online publication and is updated daily on week days.

Initial download of the metrics may take a while.