Free Access

Fig. 2

thumbnail

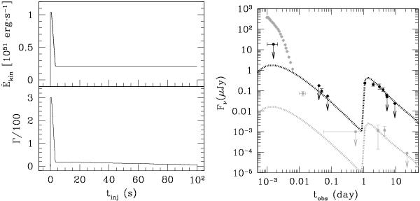
Refreshed shocks: long-lived reverse shock model. Left panel: initial distribution of the Lorentz factor (lower part) and kinetic power (upper part) in the flow as a function of injection time tinj. Right panel: synthetic light-curves at 2 eV (black, dotted line) and 10 keV (grey, dotted line) together with the data. The kinetic energies in the spike and extended emission components are  erg and . The density of the external medium, redshift and slope p of the electron distribution are the same as in Fig. 1. The adopted microphysics parameters are in the shocked ejecta.

Current usage metrics show cumulative count of Article Views (full-text article views including HTML views, PDF and ePub downloads, according to the available data) and Abstracts Views on Vision4Press platform.

Data correspond to usage on the plateform after 2015. The current usage metrics is available 48-96 hours after online publication and is updated daily on week days.

Initial download of the metrics may take a while.