Free Access

Fig. 12

thumbnail

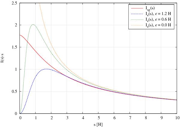
Force correction function Isg(s) multiplied by s resulting from an integration over the vertical structure of the disk, see Eqs. ((40), (41)). Additional curves indicate the corresponding function for the 2D potential (Eq. (24)) using different values of the smoothing parameter ϵsg.

Current usage metrics show cumulative count of Article Views (full-text article views including HTML views, PDF and ePub downloads, according to the available data) and Abstracts Views on Vision4Press platform.

Data correspond to usage on the plateform after 2015. The current usage metrics is available 48-96 hours after online publication and is updated daily on week days.

Initial download of the metrics may take a while.