Free Access

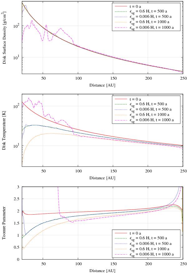
Fig. 16

thumbnail

Radial dependency of surface density (top), midplane temperature (middle) and Toomre parameter (bottom) of the two disk models with ϵsg = 0.6H and ϵsg = 0.006H for different timestamps. At t = 0 a both simulations match because they have identical start conditions. In the first 500 years they behave very similar but then their further evolution diverges drastically.

This figure is made of several images, please see below:

Current usage metrics show cumulative count of Article Views (full-text article views including HTML views, PDF and ePub downloads, according to the available data) and Abstracts Views on Vision4Press platform.

Data correspond to usage on the plateform after 2015. The current usage metrics is available 48-96 hours after online publication and is updated daily on week days.

Initial download of the metrics may take a while.