Free Access

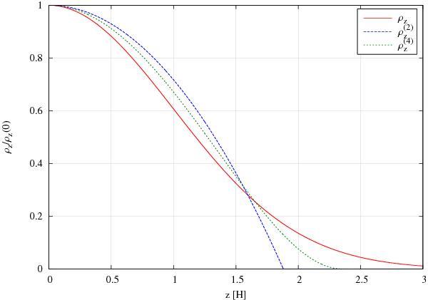
Fig. B.1

thumbnail

Gaussian vertical profile ρz (solid line) compared with the parabolic vertical profile and fourth-order vertical profile . They all have the same area below the curves and yield the identical surface density.

Current usage metrics show cumulative count of Article Views (full-text article views including HTML views, PDF and ePub downloads, according to the available data) and Abstracts Views on Vision4Press platform.

Data correspond to usage on the plateform after 2015. The current usage metrics is available 48-96 hours after online publication and is updated daily on week days.

Initial download of the metrics may take a while.