Free Access

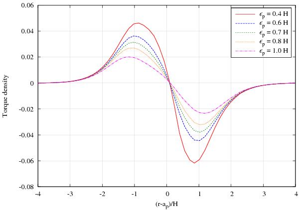
Fig. 7

thumbnail

Specific radial torque density in units of (dΓ/dm)0 (see Eq. (36)) for embedded planet models using the ϵ potential with various ϵp. The simulations use a given H = 0.05, and the x-axis refers to the radial coordinate where ap is the semi-major axis of the planet. The planet to star mass-ratio is q = 6 × 10-5. Other parameters of the simulations are stated in Sect. 4.3.

Current usage metrics show cumulative count of Article Views (full-text article views including HTML views, PDF and ePub downloads, according to the available data) and Abstracts Views on Vision4Press platform.

Data correspond to usage on the plateform after 2015. The current usage metrics is available 48-96 hours after online publication and is updated daily on week days.

Initial download of the metrics may take a while.