Free Access

Fig. 9

thumbnail

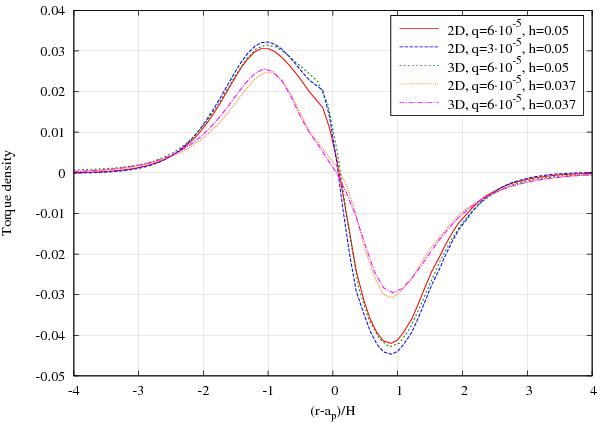
Specific radial torque density in units of (dΓ/dm)0 for 2D and 3D embedded planet models using different mass ratio and disk temperature. The first three curves represent models with the same disk temperature H/r = 0.05. The red curve corresponds to our standard model, the blue curve has a reduced planet mass q = 3 × 10-5, and the third (green curve) corresponds to a full 3D run. The next two curves (yellow and purple) refer to models with H/r = 0.037. The 2D runs used our approximate density distribution in evaluating the gravitational force. The 3D results were adapted from Kley et al. (2009) where the setup and numerics is described in more detail.

Current usage metrics show cumulative count of Article Views (full-text article views including HTML views, PDF and ePub downloads, according to the available data) and Abstracts Views on Vision4Press platform.

Data correspond to usage on the plateform after 2015. The current usage metrics is available 48-96 hours after online publication and is updated daily on week days.

Initial download of the metrics may take a while.