Free Access

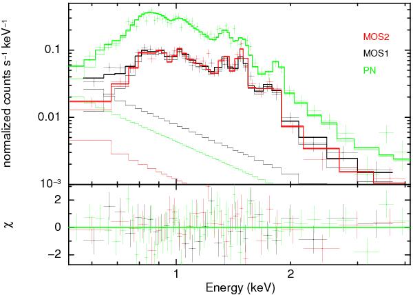
Fig. 8

thumbnail

XMM-Newton/PN/MOS spectrum of the extended emission region (in green in Fig. 6a) fit with an absorbed non-equilibrium ionization (PSHOCK) thermal model. The bottom panel shows the residuals to the fitted spectra.

Current usage metrics show cumulative count of Article Views (full-text article views including HTML views, PDF and ePub downloads, according to the available data) and Abstracts Views on Vision4Press platform.

Data correspond to usage on the plateform after 2015. The current usage metrics is available 48-96 hours after online publication and is updated daily on week days.

Initial download of the metrics may take a while.