Free Access

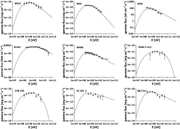
Fig. 2

thumbnail

Modeled gamma ray spectrum and Fermi-LAT observational data. The modeled spectrum shown is for Elb = 1 GeV and a = 2.0, but the spectra for Elb down to 30 MeV and a down to 1.0 practically coincide with the spectrum shown due to the low cross section below 1 GeV.

Current usage metrics show cumulative count of Article Views (full-text article views including HTML views, PDF and ePub downloads, according to the available data) and Abstracts Views on Vision4Press platform.

Data correspond to usage on the plateform after 2015. The current usage metrics is available 48-96 hours after online publication and is updated daily on week days.

Initial download of the metrics may take a while.