Free Access

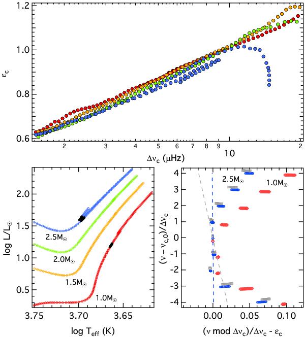
Fig. 8

thumbnail

Top panel: phase shift of the central radial mode for a sequence of 1.0, 1.5, 2.0, and 2.5 M ascending RGB models. Descending RGB and core He-burning models are shown only for the 2.5 M track. Bottom left panel: the models from the top panel shown in a theoretical HR-diagram with the models shown in the bottom right panel indicated with black symbols. Bottom right panel: normalised échelle diagram showing the radial modes of 1.0 (red diamonds) and 2.5 M (blue circles) RGB models and 2.5 M (grey squares) RC models. The blue and grey lines indicate a linear fit to the RGB and RC mode sequences, respectively. The grey and red symbols are vertically shifted for better visibility. Colours are only given in the online version.

Current usage metrics show cumulative count of Article Views (full-text article views including HTML views, PDF and ePub downloads, according to the available data) and Abstracts Views on Vision4Press platform.

Data correspond to usage on the plateform after 2015. The current usage metrics is available 48-96 hours after online publication and is updated daily on week days.

Initial download of the metrics may take a while.