Highlight
Free Access

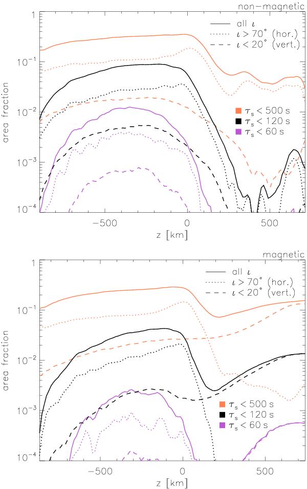
Fig. 4

thumbnail

Height profiles of the horizontal area fraction of grid cells with swirling period, τs = 2π/λci, below given thresholds in the non-magnetic case (upper panel) and in the magnetic case (lower panel). Full lines correspond to vortices of all inclinations, while dotted and dashed lines separately represent horizontal and vertical swirls, respectively.

This figure is made of several images, please see below:

Current usage metrics show cumulative count of Article Views (full-text article views including HTML views, PDF and ePub downloads, according to the available data) and Abstracts Views on Vision4Press platform.

Data correspond to usage on the plateform after 2015. The current usage metrics is available 48-96 hours after online publication and is updated daily on week days.

Initial download of the metrics may take a while.