Highlight
Free Access

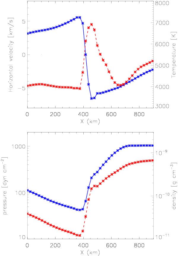
Fig. 8

thumbnail

Horizontal cuts in x-direction through the shock located at (x,y) = (4.5   Mm,5.7   Mm) in Fig. 6. Upper panel: horizontal velocity (blue, solid line) and temperature (red, dashed line); lower panel: density (blue, solid line) and gas pressure (red, dashed line).

This figure is made of several images, please see below:

Current usage metrics show cumulative count of Article Views (full-text article views including HTML views, PDF and ePub downloads, according to the available data) and Abstracts Views on Vision4Press platform.

Data correspond to usage on the plateform after 2015. The current usage metrics is available 48-96 hours after online publication and is updated daily on week days.

Initial download of the metrics may take a while.