Free Access

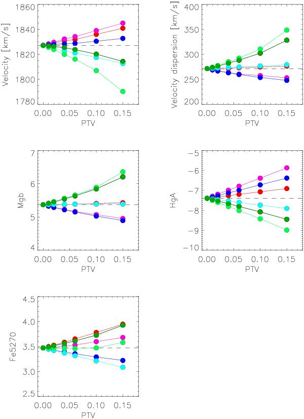
Fig. 8

thumbnail

Changes in velocity, velocity dispersion and the line-strengths, Mg b, HγA and Fe5270 depending on the PTV of the fringe-like pattern (sinusoidal). Different colors indicates different phase shifts of the sinusoidal, equally separated between 0 and 2π. The shift in color goes from dark green, red, magenta, blue, light blue, light green, back to dark green. The black dashed lines indicates the correct values given by the fringe free galaxy spectrum.

Current usage metrics show cumulative count of Article Views (full-text article views including HTML views, PDF and ePub downloads, according to the available data) and Abstracts Views on Vision4Press platform.

Data correspond to usage on the plateform after 2015. The current usage metrics is available 48-96 hours after online publication and is updated daily on week days.

Initial download of the metrics may take a while.