Free Access

Fig. 2

thumbnail

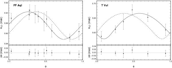
Uniform disk angular-diameter variation of FF Aql and T Vul. The solid line is the integration of the radial velocity curve with the distance, average angular diameter, and period change as fitted parameters. The dashed line includes the period change. The lower panel displays the residuals of the fit.

This figure is made of several images, please see below:

Current usage metrics show cumulative count of Article Views (full-text article views including HTML views, PDF and ePub downloads, according to the available data) and Abstracts Views on Vision4Press platform.

Data correspond to usage on the plateform after 2015. The current usage metrics is available 48-96 hours after online publication and is updated daily on week days.

Initial download of the metrics may take a while.