Free Access

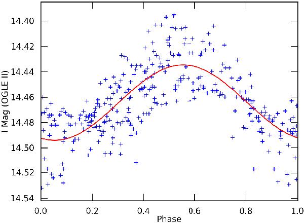
Fig. 12

thumbnail

Phase diagram with the lightcurve of J004441.04 (blue crosses) folded over the dominant frequency of 97.6  ±  0.3 days (red line).

Current usage metrics show cumulative count of Article Views (full-text article views including HTML views, PDF and ePub downloads, according to the available data) and Abstracts Views on Vision4Press platform.

Data correspond to usage on the plateform after 2015. The current usage metrics is available 48-96 hours after online publication and is updated daily on week days.

Initial download of the metrics may take a while.