Free Access

Fig. 9

thumbnail

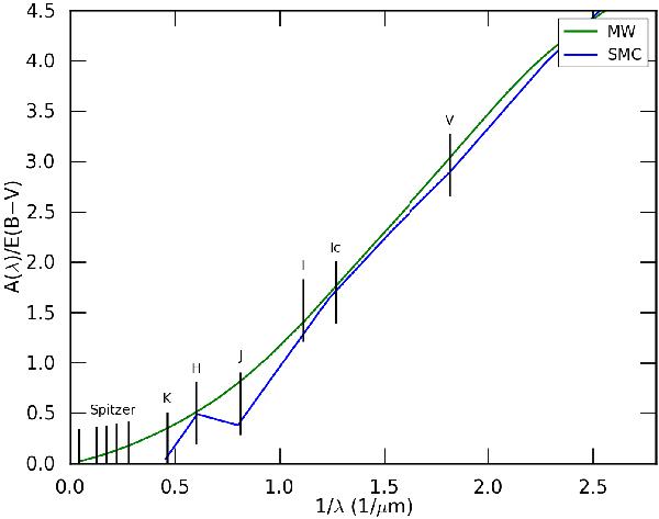
Extinction curves of the MW (green) and the SMC (blue). The position of the photometric bands used for the SED of J004441.04 are indicated. The MW extinction curve is taken from Cardelli et al. (1989), the SMC extinction curve from Gordon et al. (2003). The SMC curve only contains values at filter wavelengths explaining the strange behavior.

Current usage metrics show cumulative count of Article Views (full-text article views including HTML views, PDF and ePub downloads, according to the available data) and Abstracts Views on Vision4Press platform.

Data correspond to usage on the plateform after 2015. The current usage metrics is available 48-96 hours after online publication and is updated daily on week days.

Initial download of the metrics may take a while.