Free Access

Fig. 9

thumbnail

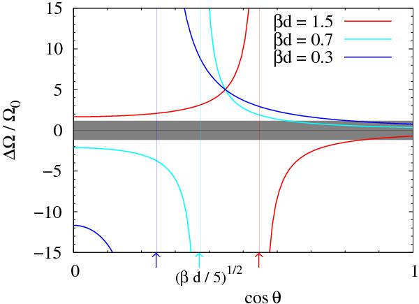
Possible values for ΔΩ/Ω0, depending on the parameter d in Eq. (43) and the value of the integral β Eq. (B.5). The line colors corresponds to the value of (d × β), which ranges here from 0.3 (in blue) to 1.5 (in red). In gray, we indicate the acceptable domain of values for the latitudinal gradient (Eq. (45)). This plot was produced for high order p modes.

Current usage metrics show cumulative count of Article Views (full-text article views including HTML views, PDF and ePub downloads, according to the available data) and Abstracts Views on Vision4Press platform.

Data correspond to usage on the plateform after 2015. The current usage metrics is available 48-96 hours after online publication and is updated daily on week days.

Initial download of the metrics may take a while.