Free Access

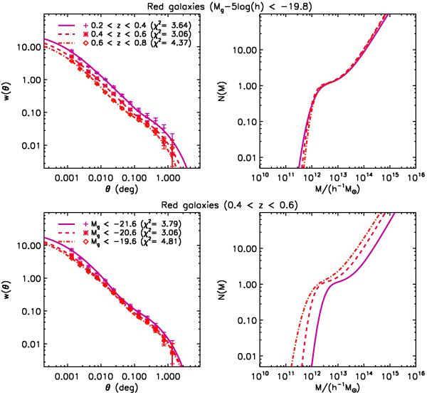
Fig. 10

thumbnail

w(θ) measurements (left) with their best fit models for red galaxies, and the resulting galaxy occupation function (right) with respect to halo mass. We illustrate the redshift evolution (top) in the luminosity threshold Mg − 5log h <  − 19.8, and the luminosity dependence (bottom) in the redshift range 0.4 < z < 0.6.

Current usage metrics show cumulative count of Article Views (full-text article views including HTML views, PDF and ePub downloads, according to the available data) and Abstracts Views on Vision4Press platform.

Data correspond to usage on the plateform after 2015. The current usage metrics is available 48-96 hours after online publication and is updated daily on week days.

Initial download of the metrics may take a while.