Free Access

Fig. 14

thumbnail

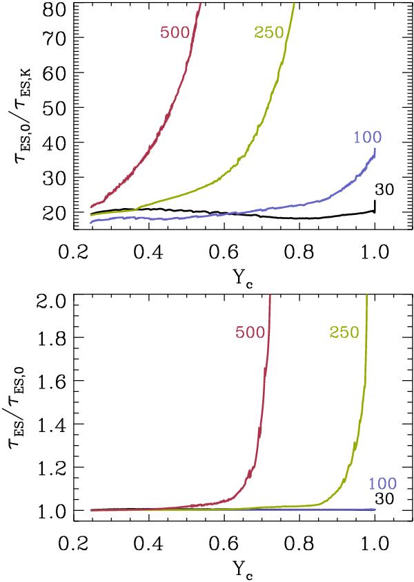
Upper panel: the evolution of τES,0/τES,K (see Eqs. (8) and (9)) in the model sequences m30vk03, m100vk04, m250vk04 and m500vk04. Only main sequence models are considered here. Bottom panel: the evolution of τES/τES,0 (see Eqs. (9) and (10)) in the corresponding model sequences.

This figure is made of several images, please see below:

Current usage metrics show cumulative count of Article Views (full-text article views including HTML views, PDF and ePub downloads, according to the available data) and Abstracts Views on Vision4Press platform.

Data correspond to usage on the plateform after 2015. The current usage metrics is available 48-96 hours after online publication and is updated daily on week days.

Initial download of the metrics may take a while.