Free Access

Fig. 15

thumbnail

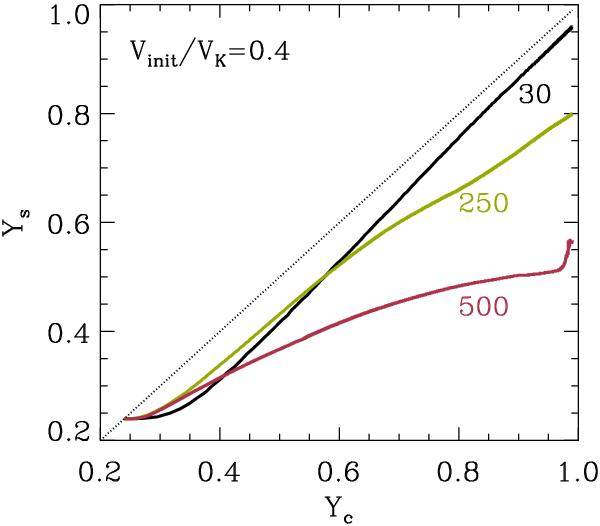
Mass fraction of helium at the surface (Ys) as a function of the mass fraction of helium at the center (Yc) during the main sequence for model sequences m30vk04, m250vk04 and m500vk04. The thin dotted line corresponds to the case of perfect chemical homogeneity.

Current usage metrics show cumulative count of Article Views (full-text article views including HTML views, PDF and ePub downloads, according to the available data) and Abstracts Views on Vision4Press platform.

Data correspond to usage on the plateform after 2015. The current usage metrics is available 48-96 hours after online publication and is updated daily on week days.

Initial download of the metrics may take a while.