Free Access

Fig. 6

thumbnail

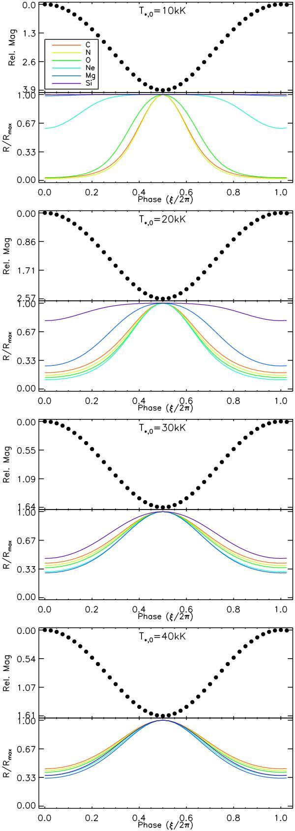
Variation in R versus approximate visible magnitude light curve (dots; see text) for six helium-like ions: C v (red), N vi (yellow), O vii (green), Ne ix (teal), Mg xi (blue), and Si xiii (purple); for stars with average effective temperatures 10 000, 20 000, 30 000 and 40 000 K (top to bottom). Note that the peak in R corresponds with the minimum optical brightness.

This figure is made of several images, please see below:

Current usage metrics show cumulative count of Article Views (full-text article views including HTML views, PDF and ePub downloads, according to the available data) and Abstracts Views on Vision4Press platform.

Data correspond to usage on the plateform after 2015. The current usage metrics is available 48-96 hours after online publication and is updated daily on week days.

Initial download of the metrics may take a while.