Free Access

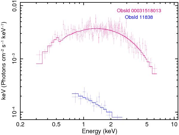
Fig. 1

thumbnail

Spectrum of r2-75 from the first Swift observation (ObsId 0031518013), compared to the Chandra observation obtained 150 days later (ObsId 11838). The best fit spectrum to the former is a disk black body model, whereas for the later, the preferred model is that of a power law.

Current usage metrics show cumulative count of Article Views (full-text article views including HTML views, PDF and ePub downloads, according to the available data) and Abstracts Views on Vision4Press platform.

Data correspond to usage on the plateform after 2015. The current usage metrics is available 48-96 hours after online publication and is updated daily on week days.

Initial download of the metrics may take a while.