Free Access

Fig. 11

thumbnail

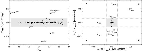
Comparison of the photo-z solutions for the 77 common sources in the XMM-COSMOS field. Left: differences in the photo-z solutions found by the ALHAMBRA and COSMOS photometry as a function of the visual magnitudes in the ALHAMBRA filter A678M. Both surveys agree for ~90% of the sources when (zPHOT − COS − zPHOT − ALH)/1 + zSPEC ≤ 0.15, where zPHOT − COS and zPHOT − ALH are the photo-z solutions found in the COSMOS and ALHAMBRA surveys respectively. Right: comparison of the source-by-source photo-z accuracy for both surveys. The threshold limit for outliers, |Δz|/(1 + zspec) ≤ 0.15, is indicated by vertical and horizontal dashed lines for the COSMOS and ALHAMBRA surveys, respectively. The central grey square represent the region where the two surveys agree, while sources in any of the exterior 4 quadrants (A, B, C, and D) have wrong photo-z solution in both COSMOS and ALHAMBRA (crosses). Sources within the vertical or horizontal stripes, defined by the dashed lines, and not within the central square have either i) good-COSMOS and poor-ALHAMBRA solutions (squares) or ii) good-ALHAMBRA and poor-COSMOS solutions (diamonds).

This figure is made of several images, please see below:

Current usage metrics show cumulative count of Article Views (full-text article views including HTML views, PDF and ePub downloads, according to the available data) and Abstracts Views on Vision4Press platform.

Data correspond to usage on the plateform after 2015. The current usage metrics is available 48-96 hours after online publication and is updated daily on week days.

Initial download of the metrics may take a while.