Free Access

Fig. 5

thumbnail

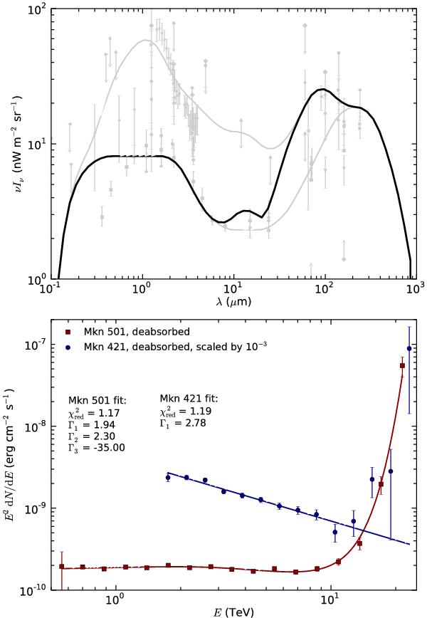
Upper panel: example of an EBL shape excluded by Mkn 501 with the VHEConcavity criterion. Lower panel: the spectra of Mkn 501 and Mkn 421 corrected with this particular EBL shape. The flux of the latter is scaled by 10-3 for better visibility. For Mkn 501, a double broken power law provides the best description with a spectral index Γ3 =  −35 at highest energies, the maximum value tested in the fitting procedure. In the case of Mkn 421, a simple power law suffices.

Current usage metrics show cumulative count of Article Views (full-text article views including HTML views, PDF and ePub downloads, according to the available data) and Abstracts Views on Vision4Press platform.

Data correspond to usage on the plateform after 2015. The current usage metrics is available 48-96 hours after online publication and is updated daily on week days.

Initial download of the metrics may take a while.