Free Access

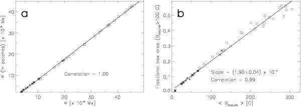
Fig. 4

thumbnail

a) Total unsigned magnetic flux carried by the magnetic patches (Bapp,los > 100 G) vs. total flux in the boxes for the strong network (“*”) and plage (“Λ”) boxes. b) Fraction of the box’s area occupied by the magnetic patches vs. mean longitudinal field strength ⟨Bapp,los⟩, for all the boxes including weak network (“ × ”).

Current usage metrics show cumulative count of Article Views (full-text article views including HTML views, PDF and ePub downloads, according to the available data) and Abstracts Views on Vision4Press platform.

Data correspond to usage on the plateform after 2015. The current usage metrics is available 48-96 hours after online publication and is updated daily on week days.

Initial download of the metrics may take a while.