Free Access

Fig. 10

thumbnail

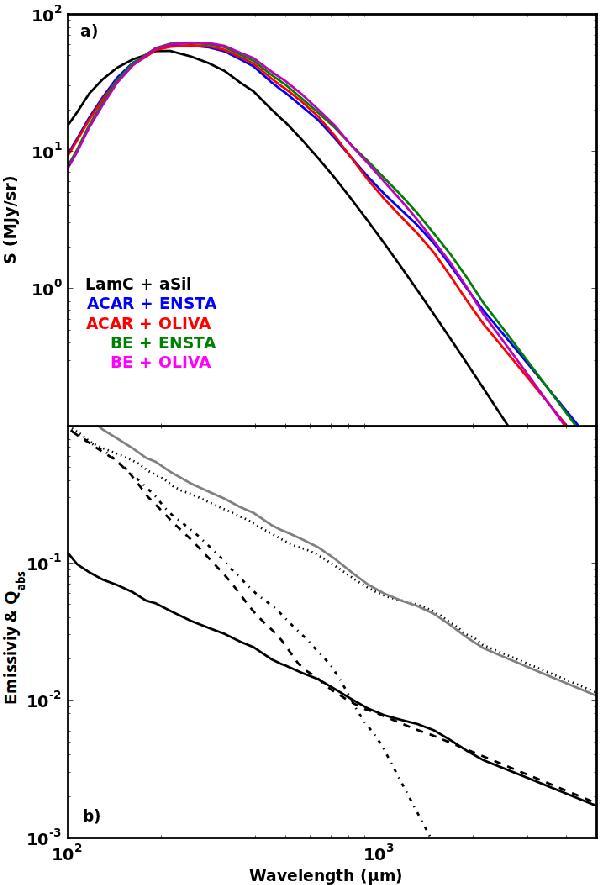
a) SEDs for the central pixel of the cloud with central AV = 10 for a mixture of LamC and aSil (black), BE and ENSTA (green), BE and OLIVA (magenta), ACAR and ENSTA (blue), and ACAR and OLIVA (red). b) Emissivity in arbitrary units for the cloud with central AV = 10, for a mixture of ACAR and OLIVA (solid grey line), and a mixture of ACAR and ENSTA (solid black line). Absorption efficiencies in arbitrary units for grains with a diameter of 0.1 μm: ACAR (dotted line), ENSTA (dashed line), and OLIVA (dashed-dotted line).

Current usage metrics show cumulative count of Article Views (full-text article views including HTML views, PDF and ePub downloads, according to the available data) and Abstracts Views on Vision4Press platform.

Data correspond to usage on the plateform after 2015. The current usage metrics is available 48-96 hours after online publication and is updated daily on week days.

Initial download of the metrics may take a while.