Free Access

Fig. A.1

thumbnail

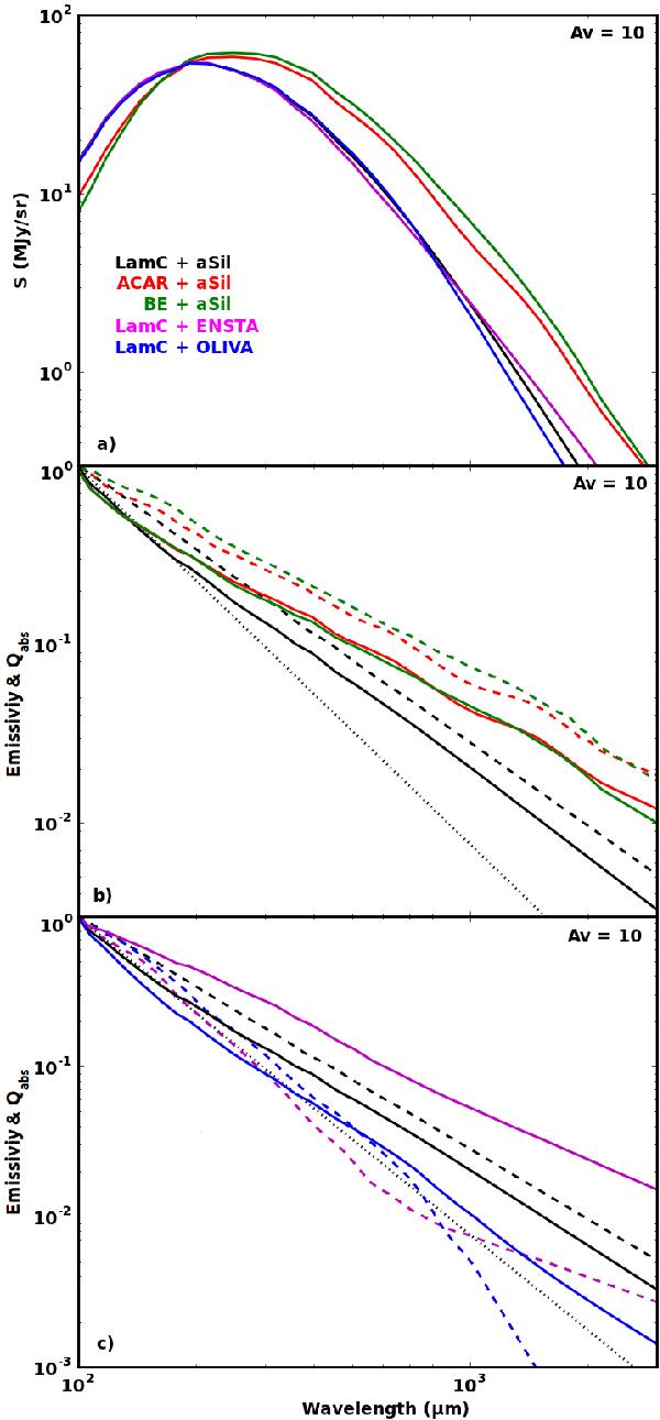
a) SEDs for the central pixel of the cloud with central AV = 10 for a mixture of LamC and aSil (black), LamC and ENSTA (magenta), LamC and OLIVA (blue), ACAR and aSil (red), BE and aSil (green). b) Emissivity normalised at 100 μm for the cloud with central AV = 10, for a mixture of LamC and aSil (black solid line), of ACAR and aSil (red solid line), and of BE and aSil (green solid line). Absorption efficiencies normalised at 100 μm: aSil (black dotted line), LamC (black dashed line), ACAR (red dashed line), and BE (green dashed line). c) Emissivity normalised at 100 μm for the cloud with central AV = 10, for a mixture of LamC and aSil (black solid line), of LamC and ENSTA (magenta solid line), and of LamC and OLIVA (blue solid line). Absorption efficiencies normalised at 100 μm: aSil (black dotted line), LamC (black dashed line), ENSTA (magenta dashed line), and OLIVA (blue dashed line).

Current usage metrics show cumulative count of Article Views (full-text article views including HTML views, PDF and ePub downloads, according to the available data) and Abstracts Views on Vision4Press platform.

Data correspond to usage on the plateform after 2015. The current usage metrics is available 48-96 hours after online publication and is updated daily on week days.

Initial download of the metrics may take a while.