Free Access

This article has an erratum: [https://doi.org/10.1051/0004-6361/201118483e]


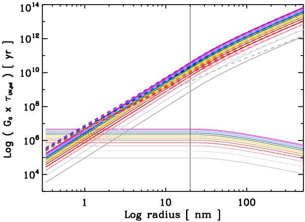
Fig. 18

thumbnail

a-C(:H) particle photo-processing time-scales, τUV,pd, multiplied by the ISRF factor G0, as a function of particle radius for increasing band gap from bottom to top. The upper solid (dashed) lines are for a model neglecting (including) surface hydrogenation. The lower thin solid lines show the model, without surface hydrogenation, divided by a3.

Current usage metrics show cumulative count of Article Views (full-text article views including HTML views, PDF and ePub downloads, according to the available data) and Abstracts Views on Vision4Press platform.

Data correspond to usage on the plateform after 2015. The current usage metrics is available 48-96 hours after online publication and is updated daily on week days.

Initial download of the metrics may take a while.