Free Access

This article has an erratum: [https://doi.org/10.1051/0004-6361/201118483e]


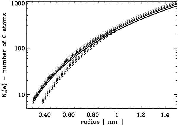
Fig. A.1

thumbnail

The number of carbon atoms in a particle, NC, as a function of the particle radius for XH = 0.17 (thin), 0.3, 0.4, 0.5 and 0.62 (thick). The dashed lines show NC for effective radii aeff = a0.8, which simulate lower effective densities for sub-nm particles, i.e., larger effective radii for a given number of carbon atoms.

Current usage metrics show cumulative count of Article Views (full-text article views including HTML views, PDF and ePub downloads, according to the available data) and Abstracts Views on Vision4Press platform.

Data correspond to usage on the plateform after 2015. The current usage metrics is available 48-96 hours after online publication and is updated daily on week days.

Initial download of the metrics may take a while.